이산수학?
- discrete object를 연구하는 학문
- 각수학분야에서 이산적인 것을 탐구하는 학문
- 가장 중요한건 선형대수, 확률론, 그리고 operations research 분야임
이산적?
- 셀 수 있어야함
연속적?
- 셀 수 없어야 함
머신러닝?
주어진 데이터를 가장 잘 표현하는 함수를 찾는 것
지도학습
- 회귀문제
-- 선형 회귀
- 분류문제
-- 로지스틱 회귀
딥러닝?
- end to end 방식임
End to End?
- 중간에 사람이 부가적으로 성능을 좋게 하기 위해서 어떤걸 하지 않음
얕은학습 vs 깊은 학습
얕은학습은 우리가 특징을 직접 정한다. 하지만 깊은 학습(deep learning)은 우리가 특징을 정하지 않는다.
- 예전엔 사람이 손으로 많은 방식으로 특징 추출의 함수를 개발했었다. (파이 함수)
- 파이 함수를 컴퓨터가 자동으로 결정하게 하자 = 딥러닝
- 딥러닝이 잘 찾긴하는데 왜 이렇게 찾는지, 무엇인지 모르겠다 = 블랙박스
집합
- 어떤 조건에 의해 대상을 분명하게 정할 수 있을 때, 그 대상들의 모임
- 원소
- 원소나열법
- 조건제시법
- 벤 다이어그램
- 공집합
- 부분집합
- 진부분집합
- 부분집합의 개수 : 2^n
수 체계
countable
- 자연수
- 정수
- 유리수
uncountable
- 무리수
- 실수
Type of Data
Categorical
- Nominal
- Ordinal
Numerical
- Discrete
- Continuous

df['Age'] = df['Age'].astype('Float32').astype('Int16')
None 과 NaN을 바로 Int16으로 바꾸지 못하기 때문에 float을 거쳐야 한다고 한다.
categorical data -> 정수로 바꾸기
이 부분에서 ordinalencoder를 써줘도 가능은 하지만, 원핫 인코딩을 사용하는 것이 좋다.
모델이 학습될 때 이 순서를 결과에 반영할 수 있기 때문이다.
from sklearn.preprocessing import OrdinalEncoder
ord_enc = OrdinalEncoder()
ord_enc.fit(df['Hand'])
ord_enc.transform(df['Hand'])
원핫인코더 사용하기
from sklearn.preprocessing import OneHotEncoder
# Hand 칼럼 onehot [+]
oh_enc = OneHotEncoder(sparse=False)
oh_enc.fit(df[['Hand']])
oh_enc.transform(df[['Hand']])
어떤 인코딩이 적합할까?

- Tree 모델은 순서가 의미 없다 (뒤죽박죽 되도 상관 X)
- 선형모델은 순서 의미가 있다.
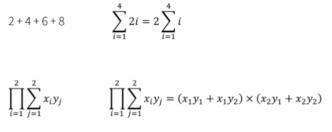
시그마
수열 : 정의역이 자연수 전체 집합 N 이고 공역이 실수 전체인 R인 함수
f : N -> R
시그마의 성질

프로덕트
합의 기호처럼 순서대로 모두 곱함

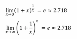
팩토리얼
1부터 n까지 1씩 증가하는 수열의 곱

자연상수 e

'이산수학' 카테고리의 다른 글
| 이산수학 알고리즘 (0) | 2022.04.11 |
|---|---|
| 함수 (0) | 2022.04.11 |
| 집합과 논리, 명제 (0) | 2022.04.11 |