코테 7

[백준] 2667 단지번호붙이기 python

https://www.acmicpc.net/problem/2667 2667번: 단지번호붙이기 과 같이 정사각형 모양의 지도가 있다. 1은 집이 있는 곳을, 0은 집이 없는 곳을 나타낸다. 철수는 이 지도를 가지고 연결된 집의 모임인 단지를 정의하고, 단지에 번호를 붙이려 한다. 여 www.acmicpc.net 문제 과 같이 정사각형 모양의 지도가 있다. 1은 집이 있는 곳을, 0은 집이 없는 곳을 나타낸다. 철수는 이 지도를 가지고 연결된 집의 모임인 단지를 정의하고, 단지에 번호를 붙이려 한다. 여기서 연결되었다는 것은 어떤 집이 좌우, 혹은 아래위로 다른 집이 있는 경우를 말한다. 대각선상에 집이 있는 경우는 연결된 것이 아니다. 는 을 단지별로 번호를 붙인 것이다. 지도를 입력하여 단지수를 출력하고..

코테 2022.04.10

[백준] 9934 완전 이진 트리

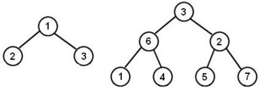
https://www.acmicpc.net/problem/9934 9934번: 완전 이진 트리 상근이는 슬로베니아의 도시 Donji Andrijevci를 여행하고 있다. 이 도시의 도로는 깊이가 K인 완전 이진 트리를 이루고 있다. 깊이가 K인 완전 이진 트리는 총 2K-1개의 노드로 이루어져 있다. (아래 www.acmicpc.net 문제 상근이는 슬로베니아의 도시 Donji Andrijevci를 여행하고 있다. 이 도시의 도로는 깊이가 K인 완전 이진 트리를 이루고 있다. 깊이가 K인 완전 이진 트리는 총 2K-1개의 노드로 이루어져 있다. (아래 그림) 각 노드에는 그 곳에 위치한 빌딩의 번호가 붙여져 있다. 또, 가장 마지막 레벨을 제외한 모든 집은 왼쪽 자식과 오른쪽 자식을 갖는다. 깊이가 2와..

코테 2022.04.08

[백준] 1920 수 찾기

https://www.acmicpc.net/problem/1920 문제 1920번: 수 찾기 첫째 줄에 자연수 N(1 ≤ N ≤ 100,000)이 주어진다. 다음 줄에는 N개의 정수 A[1], A[2], …, A[N]이 주어진다. 다음 줄에는 M(1 ≤ M ≤ 100,000)이 주어진다. 다음 줄에는 M개의 수들이 주어지는데, 이 수들 www.acmicpc.net N개의 정수 A[1], A[2], …, A[N]이 주어져 있을 때, 이 안에 X라는 정수가 존재하는지 알아내는 프로그램을 작성하시오. 입력 첫째 줄에 자연수 N(1 ≤ N ≤ 100,000)이 주어진다. 다음 줄에는 N개의 정수 A[1], A[2], …, A[N]이 주어진다. 다음 줄에는 M(1 ≤ M ≤ 100,000)이 주어진다. 다음 줄에..

코테 2022.04.07

[백준] 2164 카드2

https://www.acmicpc.net/problem/2164 2164번: 카드2 N장의 카드가 있다. 각각의 카드는 차례로 1부터 N까지의 번호가 붙어 있으며, 1번 카드가 제일 위에, N번 카드가 제일 아래인 상태로 순서대로 카드가 놓여 있다. 이제 다음과 같은 동작을 카드가 www.acmicpc.net 문제 N장의 카드가 있다. 각각의 카드는 차례로 1부터 N까지의 번호가 붙어 있으며, 1번 카드가 제일 위에, N번 카드가 제일 아래인 상태로 순서대로 카드가 놓여 있다. 이제 다음과 같은 동작을 카드가 한 장 남을 때까지 반복하게 된다. 우선, 제일 위에 있는 카드를 바닥에 버린다. 그 다음, 제일 위에 있는 카드를 제일 아래에 있는 카드 밑으로 옮긴다. 예를 들어 N=4인 경우를 생각해 보자...

코테 2022.04.07

[백준] 9012 괄호

https://www.acmicpc.net/problem/9012 9012번: 괄호 괄호 문자열(Parenthesis String, PS)은 두 개의 괄호 기호인 ‘(’ 와 ‘)’ 만으로 구성되어 있는 문자열이다. 그 중에서 괄호의 모양이 바르게 구성된 문자열을 올바른 괄호 문자열(Valid PS, VPS)이라고 www.acmicpc.net 문제 괄호 문자열(Parenthesis String, PS)은 두 개의 괄호 기호인 ‘(’ 와 ‘)’ 만으로 구성되어 있는 문자열이다. 그 중에서 괄호의 모양이 바르게 구성된 문자열을 올바른 괄호 문자열(Valid PS, VPS)이라고 부른다. 한 쌍의 괄호 기호로 된 “( )” 문자열은 기본 VPS 이라고 부른다. 만일 x 가 VPS 라면 이것을 하나의 괄호에 넣은..

코테 2022.04.07

[백준] 11728 배열 합치기

https://www.acmicpc.net/problem/11728 11728번: 배열 합치기 첫째 줄에 배열 A의 크기 N, 배열 B의 크기 M이 주어진다. (1 ≤ N, M ≤ 1,000,000) 둘째 줄에는 배열 A의 내용이, 셋째 줄에는 배열 B의 내용이 주어진다. 배열에 들어있는 수는 절댓값이 109보다 작거 www.acmicpc.net 문제 정렬되어있는 두 배열 A와 B가 주어진다. 두 배열을 합친 다음 정렬해서 출력하는 프로그램을 작성하시오. 입력 첫째 줄에 배열 A의 크기 N, 배열 B의 크기 M이 주어진다. (1 ≤ N, M ≤ 1,000,000) 둘째 줄에는 배열 A의 내용이, 셋째 줄에는 배열 B의 내용이 주어진다. 배열에 들어있는 수는 절댓값이 109보다 작거나 같은 정수이다. 출력..

코테 2022.04.07

이코테 파이썬 문법 정리

나동빈의 이코테 강의를 듣고, 꿀팁적인 문법을 정리 기초적인 문법은 제외 리스트 한 줄 초기화 array = [i for i in range(10) if i % 2 == 1] 0부터 10까지의 수 중에서 홀수만 포함하는 리스트를 한 줄로 초기화 N x M 크기의 2차원 리스트를 한 번에 초기화 array = [0] * m for _ in range(n)] NxM 2차원 리스트를 모든 원소를 0 으로 초기화 시간을 단축해줄 수 있는 리스트 관련 메서드 - append() - sort() - reverse() - insert() - count() - remove() 튜플 자료형은 한 번 선언된 값을 변경할 수 없지만, 공간 효율적임 사전 자료형은 키와 값의 쌍을 데이터로 가지고, 변경 불가능한 자료형을 키로..

코테 2022.04.03